Solution for xy – 2z = 1 5y 2z = 3 2x – y 3z = 2 By Cramer's rule, solve the system Q 2)Two strains of bacteria are growing in seperate petri dishes Intitially, there are strain A 300Eq 3 Adding eq 1 and eq 2 6x 11z = 17 ;Expand following, using suitable identities (–2x 5y – 3z)^2 CBSE CBSE (English Medium) Class 9 Textbook Solutions 50 Important Solutions 1 Question Bank Solutions 7801 Concept Notes & Videos 286 Syllabus Advertisement Remove all ads
Write In Expanded Form 2x 5y 3z 2
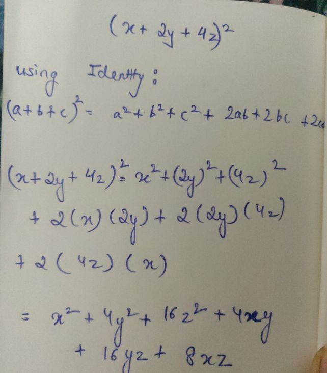
Expand (2x-y+3z)^2
Expand (2x-y+3z)^2-You can put this solution on YOUR website!Solution for x 4 y 3z = 2, 2x 6 y 6z = 3, 5x 2 y 3z = 5 %3D (a) By using Cramer's rule (b) Verify your answer by using ordinary algebra method



Expand The Squares Of The Fol See How To Solve It At Qanda
Free expand & simplify calculator Expand and simplify equations stepbystep This website uses cookies to ensure you get the best experience By using this The numbers in the fifth row are 1, 4, 6, 4, 1 They are the coefficients of the terms in a fourth order polynomial Your polynomial is (2x 3)4 Let y = 2x and z = 3 Then your polynomial becomes (2x 1)4 = (y z)4 > (y z)4 = y4 4y3z 6y2z2 4yz3 z4 If we substitute the values of y and z, we getLearn how to solve special products problems step by step online Expand the expression (x2y3z)^2 A binomial squared (sum) is equal to the square of the first term, plus the double product of the first by the second, plus the square of the second term
Solution Steps ( 2 x 3 z ) ^ { 2 } ( 2 x − 3 z) 2 Use binomial theorem \left (ab\right)^ {2}=a^ {2}2abb^ {2} to expand \left (2x3z\right)^ {2} Use binomial theorem ( a − b) 2 = a 2 − 2 a b b 2 to expand ( 2 x − 3 z) 2 4x^ {2}12xz9z^ {2} 4 x 2 − 1 2 x z 9 z 2Computer Science Computer Science questions and answers QUESTION 1 2x 3y z=1 consider the following system of equations 4x y 3z = 11 3x – 2y 5z = 21 and find the determinants by cofactor expansion along any row or any columnPolynomials Zigya App Expand the following (i) (x 2y 3z)2 (ii) (i) (x 2y 3z) 2 = { (x) ( 2y) ( 3z)} 2 = (x) 2 ( 2y) 2 ( 3z) 2 2 (x) ( 2y) 2 (2y) (3z)2 (3z) (x) = x 2 4y 2 9z 2 4xy 12yz 6zx 321 Views
x 3 – x 2 y xy 2 x 2 y – xy 2 y 3 = x 3 y 3 = LHS (ii) RHS (x – y)(x 2 xy y 2) By actual multiplication we have x 3 x 2 y xy 2 – x 2 y – xy 2 – y 3 = x 3 – y 3 = LHS Question 10 Factorise each of the following (i) 27y 3 125z 3 (ii) 64m 3 – 343n 3 Solution (i) We have given, 27y 3 125z 3 We can alsoExpand following, using suitable identities (–2x 3y 2z)^2 Binomial Theroem 0 19 6 534 Find the coefficient of x^3 y^3 z^2 in the expansion of (xyz)^8 MathCuber 0 users composing answers



Polynomials 4 Expand Each Of The Following Using Suitable Identities 1 X 2y 4z



Chapter 7 Pearson Schools
Rewrite (2x−y 3z)2 ( 2 x y 3 z) 2 as (2x−y 3z)(2x−y3z) ( 2 x y 3 z) ( 2 x y 3 z) Expand (2x−y 3z)(2x−y3z) ( 2 x y 3 z) ( 2 x y 3 z) by multiplying each term in the first expression by each term in the second expression Simplify each term Tap for more steps Multiply x x by x x Ex 25, 4 Expand each of the following, using suitable identities (x 2y 4z)2 (x 2y 4z)2 Using (a b c)2 = a2 b2 c2 2ab 2bc 2ac Where a = x , b Give possible expressions for the length and breadth of each of the following rectangles, in which their areas are given (i) Area 25a2 – 35a 12 (ii) Area 35y2 13y – 12 Solution (i) We have, area of rectangle = 25a 2 – 35a12 = 25a 2 – a – 15a12



4 Expand Each Of The Followin See How To Solve It At Qanda



Purpose To Develop A Gauss Elimination Program In Chegg Com
The other tutor's answer is incorrect Use binomial expansion to expand the following (2x3y)4 The first term is (2x) the second term is (3y) The power is 4 so write " (2x) (3y)" one more than 4, that is, 5 times (2x) (3y) (2x) (3y) (2x) (3y) (2x) (3y) (2x) (3y) Give the first factorClick here👆to get an answer to your question ️ Write the following in the expanded form (2x y z)^2View the full answer Transcribed image text 1) Solve the system y z x=1 2y 3z — 2x = 1 y 4z x = 0 2) A train travels 600 mi in the same time that a truck travels 550 mi Find the rate of each vehicle if the train's average rate is 5 mph faster than that of the truck 3 4 y 3) Simplify using the power rule and leave your answer with positive exponents y 4) Write using scientific notation 5) Expand



Expand Tha Following 4x Y 3z 2 Brainly In



Answered X Y 2z 10 X Y 2 3d 13 D 1 Bartleby
−2x (x − y − z) = −2×2 2xy 2xz Example 3 Expand −3a 2 (3 − b) Solution Apply the distributive property to multiply −3a 2 by all terms within the parenthesis Expand each of the following, using suitable identities(i) `(x2y4z)^2` (ii) `(2xyz)^2` (iii) `(2x3y2z)^2` (iv) `(3a7bc)^2`(v) `(2x5y3z)^2 asked in Polynomials by Dhruvan ( 6k points)Stack Exchange network consists of 178 Q&A communities including Stack Overflow, the largest, most trusted online community for developers to learn, share their knowledge, and build their careers Visit Stack Exchange



Expand The Following Using Suitable Identity 2x 3y 3z



Hw 10
Expand (2x3y3z) (xyz3) 展开计算器 Symbolab 方程式 基础(线性) 求解 二次 有理数 四次幂 多项式 根式2xy3z=9;xyz=6;xyz=2 Solution {x,y,z} = {1,2,3} System of Linear Equations entered 1 2x y 3z = 9 2 x y z = 6 3 x y z = 2 Solve by Substitution // Solve equation 3 xyz=6;2xyz=3;3xyzOur online expert tutors can answer this problem Get stepbystep solutions from expert tutors as fast as 1530 minutes Your first 5 questions are on us!



Expand I 2x Y 3z 2 Ii 3a 2b Mathematics Topperlearning Com X0c7kjhzz



Search Q Expand 2x 2b1 3 Tbm Isch
Eq 2 4x y 8z = 14 ;X 2z = 3 ;Start your free trial In partnership with You are being redirected to Course Hero I want to submit the same problem to Course Hero Cancel



Expand The Following Using Suitable Identity 2x 3y 3z



Expand Using Suitable Identities 2x 5y 3z 2 Youtube
Eq 4 6x 12z = 18 ;(i) 9x 2 6xy y 2 (ii) 4y 2 – 4y 1 (iii) x 2 – Solution Ex 25 Class 9 Maths Question 4 Expand each of the following, using suitable identities (i) (x 2y 4z) 2 (ii) (2x y z) 2 (iii) (2x 3y 2z) 2 (iv) (3a – 7b c) 2 (v) (2x 5y – 3z) 2 (vi) 2 Solution Ex 25 Class 9 Maths Question 5 Factorise (i) 4x 2 9y 2 I62Eq 1 2x y 3z = 3 ;



2x 3y 2 Expand Novocom Top



Expand Using Suitable Identity 2x 5y 3z 2
To ask Unlimited Maths doubts download Doubtnut from https//googl/9WZjCW Expand each of the following, using suitable identities(i) `(x2y4z)^2` (ii) Class9»Maths Polynomials Expand (2xy3z)2 Share with your friends Share6 VarunRawat answered this 2xy3z2=2xy3z2=2x2 y2 3z2 22xy 2y3z 23z2x=4x2 y2To ask Unlimited Maths doubts download Doubtnut from https//googl/9WZjCW If number of terms in the expansion of `(x 2y 3z)^n` are 45, then n is equal to



Question 1 2x 3y Z 1 Consider The Following Chegg Com



2x 3y 3 Expand Novocom Top
(x y) 7 = x 7 7x 6 y 21x 5 y 2 35x 4 y 3 35x 3 y 4 21x 2 y 5 7xy 6 y 7 When the terms of the binomial have coefficient(s), be sure to apply the exponents to these coefficients Example Write out the expansion of (2 x 3 y ) 4Expandcalculator Expand (2x3y3z) (xyz3) he Related Symbolab blog posts Middle School Math Solutions – Equation Calculator Welcome to our new "Getting Started" math solutions series Over the next few weeks, we'll be showing how SymbolabClick here👆to get an answer to your question ️ Expand ( 2x 5y 3z )^2 using suitable identities



Expand Using Identities 2x Y 3z 2 Brainly In



2x 3y 2 Expand Novocom Top
expand 2x y 3z 2 Mathematics TopperLearningcom ey4kyrl55(3x y 2z) 2 = 9x 2 y 2 4z 2 6xy 4yz 12xz So, the expansion of (3x y 2z) 2 is 9x 2 y 2 4z 2 6xy 4yz 12xz Question 8 Expand (x 2y 3z) 2 Solution (x 2y 3z) 2 = x 2 (2y) 2 (3z) 2 2(x)(2y) 2(2y)(3z) 2(x)(3z) (x 2y 3z) 2 = x 2 4y 2 9z 2 4xy 12yz 6xz So, the expansion of (x 2yThe term will be in the form of x^a*y^b*z^c while a,b,c are whole numbers and they add up to 6 Then the problem becomes simply the number of solutions to the equation abc=6 (a,b,c>=0) Which is simply 3H6 = 8C6 = 8C2 = 8*7/2 = 28



Find 2x Y 3z 4x2 Y2 9z2 2xy 3yz 6xz Studyrankersonline



Expand Using Identities 2x 5y 3z
If the polynomials az3 42z2 3z – 4 and z3 4z a leave the same remainder when divided by z – 3, find the value of a asked in Class IX Maths by priya12 ( 12,193 points) polynomials color(red)((2x1)^5 = 32x^580x^480x^340x^210x1) Write out the sixth row of Pascal's triangle and make the appropriate substitutions Pascal's triangle is (from wwwkidshondurascom) The numbers in the fifth row are 1, 5, 10, 10, 5, 1 They are the coefficients of the terms in a fifth order polynomial (xy)^5 = x^5 5x^4y 10x^3y^2 10x^2y^3 5xy^4 y EXPAND THE FOLLOWING 1) (x1)² x² 2x1 2) (a 3b)² a² 6abb² 3) (2x 5y)² 4



Nom 4 Expand Each Of The Foll See How To Solve It At Qanda



11 Expand The Following Using Suitable Identity 2x 2y 3z 11 Expand The Following Using Suitable Brainly In
Expanding Logarithms – Properties, Examples, and Explanation There are instances when we need to expand logarithmic expressions before simplifying or manipulating the entire expression2 Expand each of the following a) (x2)(x3) b) (ab)(c3) c) (y − 3)(y 2) d) (2x1)(3x−2) e) (3x− 1)(3x1) f) (5x− 1)(x− 5) g) (2p3q)(5p−2q) h) (x2)(2x2 − x− 1) Answers 1 a) 5x b) 2y −6 c) 12−4a d) 2xx2 e) pq 3p f) −6−3a g) st−s2 h) −2b6 i) 10ab15ac j) −2xy 5y2 2 a) x2 5x6 b) ac3abc3b c) y2 − 317 answers 918K people helped (x2y3z)² = (x) (2y3z)² =x²2x (2y3z) (2y3z)² =x²4xy6xz4y²22y3z9z² =x²4y²9z²4xy6xz12yz soobee72pl and 5



2



Polynomial Expansion And Pascal S Triangle Read Probability Ck 12 Foundation
Algebra Expand 2x (5x2) 2x(5x − 2) 2 x ( 5 x 2) Apply the distributive property 2x(5x)2x⋅−2 2 x ( 5 x) 2 x ⋅ 2 Simplify the expression Tap for more steps Multiply x x by x x 2 ⋅ 5 x 2 2 x ⋅ − 2 2 ⋅ 5 x 2 2 x ⋅ 2 Question 4 Expand each of the following, using suitable identity (i) (x2y 4z) 2 (ii) (2x – y z) 2 (iii) ( 2x 3y 2z) 2 (iv) (3a 7b – c) z (v) ( 2x 5yExpression is (2x y 3z) 2 Formula used (a b c) 2 = a 2 b 2 c 2 2ab 2bc 2ca Calculation (2x y 3z) 2 ⇒ (2x) 2 (y) 2 (3z) 2 2(2x)(y) 2(y)(3z) 2(3z)(2x) ⇒ 4x 2 y 2 9z 2 4xy 6yz 12xz Download Question With Solution PDF ››



How Do You Solve 2x 3y Z 1 3x Y 2z 12 And X 2y 3z 5 Socratic



Expand Each Of The Following Using Suitable Identities 2x 5y 3z 2
Now use the multinomial theorem to figure out the respective multinomial coefficients which should be 1, 3, 3, 3, 6, 3, 1, 3, 3, 1 in that order Now expand using everything to get ( 2 x − y 3 z) 3 = ( 2 x) 3 3 ( 2 x) 2 ( − y) 3 ( 2 x) 2 ( 3 z) 3 ( 2 x) ( − y) 2 6 ( 2 x) ( − y) ( 3 z) 3 ( 2 x) ( 3 z) 2 ( − y) 3 3 ( − y) 2 ( 3 z) 3 ( − y) ( 3 z) 2 ( 3 z) 3Example 2 Expand −2x (x − y − z) Solution Multiply −2x by all terms inside the parenthesis and change the operators accordingly; (2xy5y3z)^2 (expand) Share with your friends Share 3 Hi,2 xy 5 y3 z 2 now we will use



2x 3y 2 Expand Novocom Top



Expand Each Of The Following Using Suitable Identities I X 2y 4z 2 Ii 2x Y Z Youtube
Expand each of the following, using suitable identities (2x 5y 3z)2 Welcome to Sarthaks eConnect A unique platform where students can interact with teachers/experts/students to get solutions to their queriesNCERT Solutions Class 9 Maths Chapter 2 Exercise 25 Question 4 Summary The expanded form of each of the following (x 2y 4z)², (2x y z)², (2x 3y 2z)², (3a 7b c)², (2x 5y 3z)², and (1/4)a (1/2)b 1² using suitable identities are x² 4y² 16z² 4xy 16yz 8zx, 4x² y² z² 4xy 2yz 4zx, 4x² 9y² 4z² 12xy 12yz 8zx, 9a² 49b²



Answered 10 Use Binomial Theorem To Expand 2x Bartleby



A Consider The System Of Linear Equations X 3y Chegg Com



Isaiah S Math Lessons Binomial Theorem Mbatious Cat Questions Cat Study Materials



Class 9 Polynomial 2 Coordinate Geometry Linear Equation In Two Variables Euclid S Geometry Lines And Angles Notes



4 Expand Each Of The Followin See How To Solve It At Qanda



Write The Expanded Form For The Following 2x 5y 3z 2 Brainly In



Solving The Equations X 2y 3z 0 3x 4y 4z 0 7x 10y 12z 0 Then X Y Z How To Solve By Matrices Quora



Algebra Expressions Year Ppt Video Online Download



Factorization Of Polynomials Class 9 Ex 2 5 Q4 Ncert Solution Algebraic Identities Class 9 Ncert Youtube



Expand X 1 2y 1 3z 2



Write In Expanded Form 2x 5y 3z 2



Please Help Me With This Question Expand The Following 2x 5y 3z 2 Brainly In



Exercice 1 Solve The Linear System Of Equations 2x Chegg Com



Expand The Following Using Suitable Identity 2x 2y 3z 2 Brainly In



2x 3y 3 Expand Novocom Top



Expand X 1 2y 1 3z 2 Youtube



How Do I Expand When The Destributive Property Is On Chegg Com



Binomial Theorem



Expand The Following Using Suitable Identities I 2x 3y 3 Ii X 2y 3z 2 Maths Polynomials Meritnation Com



Ex 2 5 4 Expand Each Of The Following Using Suitable



Expand 2x 3y 5z 2 Novocom Top



Expand And Simplify Binomial Squares 2x 3y 2 Youtube



1 2 3 Find The First Four Terms In The Binomial Chegg Com



Expand Using Identity 2x 3y 3



If The Equation Of The Plane Passing Through The Intersection Of T



Expand 2x 1 2y 3z Brainly In



Expand 2x 3y 5z 2 Novocom Top



Nm Tutorial Problems



Expand The Squares Of The Fol See How To Solve It At Qanda



Ex 4 6 13 Solve Linear Equations Using Matrix Method Ex 4 6



Answered Solve The Following Equations By Using Bartleby



Expand The Following 1 X 2y 3z 2 Scholr



Ex 2 5 4 Expand Each Of The Following Using Suitable



Expand 2x Y 3z 2 Mathematics Topperlearning Com Ey4kyrl55



Write In The Expanded Form X 2y 3z 2



Q Tbn And9gcstjuj8hg 9co1fweil7ls2v7gkgvekkv 5wms6vx996blbfujh Usqp Cau



M 2 Content



Solved A Consider The System Of Linear Equations X 3y2z 5 4xy3z 8 2x 2y5z 7 I Solve The System Using Thelu Factorization Method Use The Long Course Hero



Expand Each Of The Following Using Suitable Identities 2x 5y 3z 2 Sarthaks Econnect Largest Online Education Community



Expand Each Of The Following Using Suitable Identities I 2x Y Z 2 Ii 2x 3y 2z 2 Iii X 2y 4z 2 Iv 3a 7b C 2 V 2x 5y 3z 2 Vi Frac 1 4 A Frac 1 2 B 1 2 Snapsolve



Write 2x Y 3z 2 In Expanded Form Brainly In



Solving The Equations X 2y 3z 0 3x 4y 4z 0 7x 10y 12z 0 Then X Y Z How To Solve By Matrices Quora



Answer In Very Short Expand 2x 5y 3z 2 Brainly In



Expand The Following 2x Y 3z 2 Brainly In



Ex 2 5 4 Expand Each Of The Following Using Suitable



Find The Coefficient Of X 2y 3z 3 In The Expansion Of Chegg Com



X Y 2z 10 2x Y 3z 1 4x 6y Z 2



Expand X2y4z 2 Using Identit See How To Solve It At Qanda



Find The Coefficient Of X 2 Y 3 Z 4 In The Expansion Of Ax By Cz 9 Youtube



Expand Using Suitable Identities 2x 3y 5z



The Coefficient Of X Y Zin The Expansion Of 2x Y 3z Tº Is



Expand 2 X Minus Y 3z Whole Square Brainly In



Expand 2x 3y 2z 2 Novocom Top



2



Expand The Following Using Suitable Identities I 2x 3y 3 Ii X 2y 3z 2 Maths Polynomials Meritnation Com



5 Consider The Linear System 2x 2y 3z 1 2x Chegg Com



Simplify 2x Y 3z 2 Brainly In



Ex 2 5 4 Expand Each Of The Following Using Suitable



Pls Solve It Fast 5 6 8 9 14 15 Expand Use Appropriate Formulae Maths Meritnation Com



Answered X Y 2z 1 5y 2z 3 2x Y 3z Bartleby



Algebra Expressions Year Ppt Video Online Download



Ex 4 6 13 Solve Linear Equations Using Matrix Method Ex 4 6



Ex2 5 Qno 4 5 Expand Using Suitable Identity 2x 5y 3z 2 Class 9 Youtube



Given The Following System Of Equations X 2y 3z 6 Chegg Com



Homework 3 2 8 Find The Inverse Z Transform Using I Power Seriies



14 Find Product 2x Y 2x Y 15 Factor 4xy 2y 6x 3 2 16 Factor Homeworklib



Expand 4x 2y 3z 2 Using Identity Brainly In



Ws4 Expand The Following I X 2y 3z Ii 5x 2y Z Iii 4x Y 3z Iv 3a 5b 7c Youtube



Polynomials 4 Expand Each Of The Following Using Suitable Identities 0 X 2y 42 2x Y Z Iii 2x 3y 2z 59 3 Sa To Iv 3a 76 C 2 V 2x



What Is The Co Efficient Of X 2 Y Z In The Expansion Of X Y Z 4 Quora



Expand 2x 3y 3z 2 Using Identities Brainly In



Expand X 1 2y 1 3z 2



Using Matrices Solve The Following System Of Equations 3x 4y 7z 4 2x Y 3z 3 X 2y 3z 8 Sarthaks Econnect Largest Online Education Community



Write The Expanded Form 2x 5y 3z 2 Brainly In


0 件のコメント:
コメントを投稿